Passer au contenu principal
Pour nous appeler : +213 34 50 14 00 Courriel : contact@univ-jijel.dz
Français ‎(fr)‎
English ‎(en)‎ Français ‎(fr)‎ العربية ‎(ar)‎
Vous êtes connecté anonymement
Connexion
E.A.D.
Accueil Facultés Replier Déplier
Faculté des Sciences et de la Technologie Faculté des Sciences de la Nature et de la Vie Faculté des sciences économiques, commerciales et des sciences de gestion Faculté de droit et des sciences politiques Faculté des lettres et langues Faculté des sciences exactes et informatique Faculté des sciences humaines et sociales
Laboratoires de Recherche
E.A.D.
  • Accueil
  • Facultés
    Faculté des Sciences et de la Technologie Faculté des Sciences de la Nature et de la Vie Faculté des sciences économiques, commerciales et des sciences de gestion Faculté de droit et des sciences politiques Faculté des lettres et langues Faculté des sciences exactes et informatique Faculté des sciences humaines et sociales
  • Laboratoires de Recherche
  • Plus
  1. Méthodes Numériques
  2. Calcul Matriciel (rappel)

Calcul Matriciel (rappel)

Conditions d’achèvement

Rappel sur le calcul matriciel

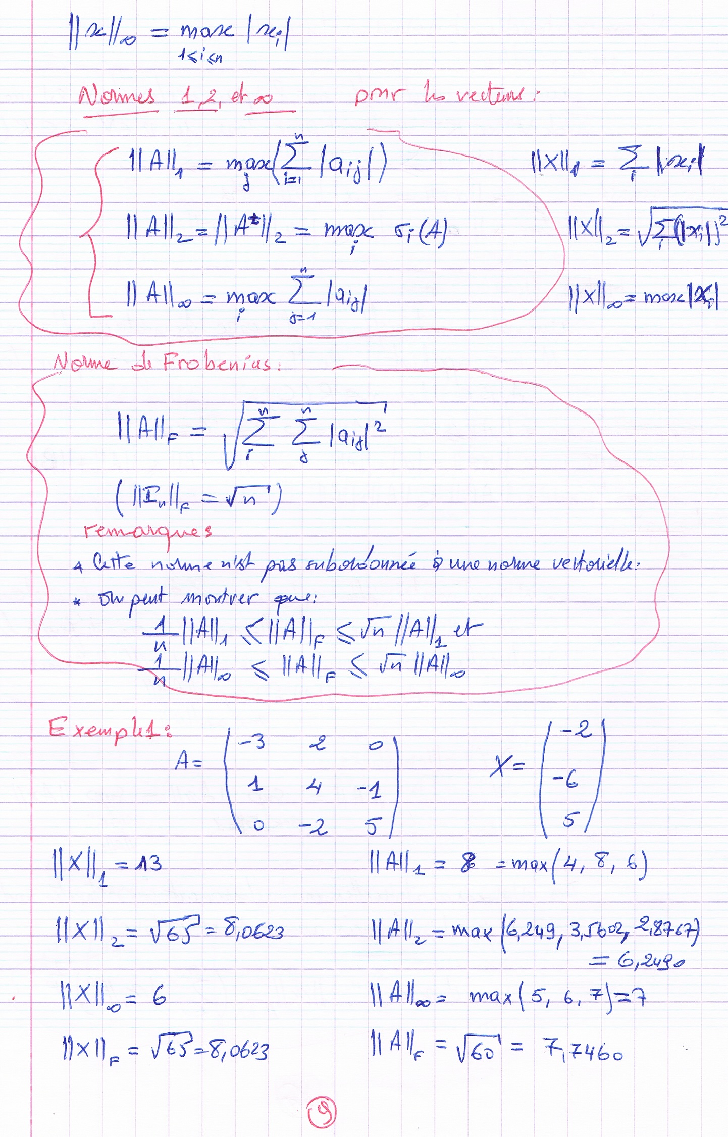
    • 01.jpg
    • 02.jpg
    • 03.jpg
    • 04.jpg
    • 05.jpg
    • 06.jpg
    • 07.jpg
    • 08.jpg
    • 09.jpg
    • 10.jpg
    • 11.jpg
    • 12.jpg
    • 13.jpg
    • 14.jpg
    • 15.jpg
    • 16.jpg
    • 17.jpg
    • 18.jpg

Université Mohammed Seddik Benyahia - JIJEL

Informations

  • Université Mohammed Seddik Benyahia - JIJEL
  • Messagerie
  • M.E.S.R.S
  • D.G.R.S.D.T
  • C.R.U.Est
  • SNDL

Nous contacter

Université de Jijel Cité Ouled Aissa, BP 98, Jijel

Téléphone : +213 34 50 14 00

Courriel : contact@univ-jijel.dz

Nous suivre

Copyright © 2022 - Développé par CSRICTE

Informations sur cette page : General type: incourse. Context Dossier: Calcul Matriciel (rappel) (context id 127787). Page type mod-folder-view.
Contacter l’assistance du site
Vous êtes connecté anonymement (Connexion)
Résumé de conservation de données
Obtenir l’app mobile
Fourni par Moodle